Distribution Plot

  • This module teaches how to create distribution plots in Seaborn. You will learn figure-level plotting, combine histogram with KDE, use Facet Grid for row/column analysis, and perform multi-category distribution comparisons in Python.
  • What is a Figure-Level Distribution Plot?

    Theory

    In Seaborn, there are two types of functions:

    Type

    Example

    Axes-level

    histplot(), kdeplot()

    Figure-level

    displot()

    displot() is a figure-level function.
    It creates its own figure and supports:

    ✔ Histogram
    ✔ KDE
    ✔ Facet Grid
    ✔ Multiple categories

    Basic Example

Distribution of Total Bill (Displot)

This visualization uses Seaborn’s displot to display the distribution of total bill amounts.

import seaborn as sns
import matplotlib.pyplot as plt
tips = sns.load_dataset("tips")
sns.displot(x="total_bill", data=tips)
plt.show()
Lesson image
  • Output Explanation

    • X-axis → total_bill

    • Y-axis → frequency

    • Shows distribution of bills


    Combining Histogram + KDE

    Theory

    We can combine:

    ✔ Histogram (bars)
    ✔ KDE (smooth curve)

    This gives:

    • Frequency

    • Smooth distribution shape

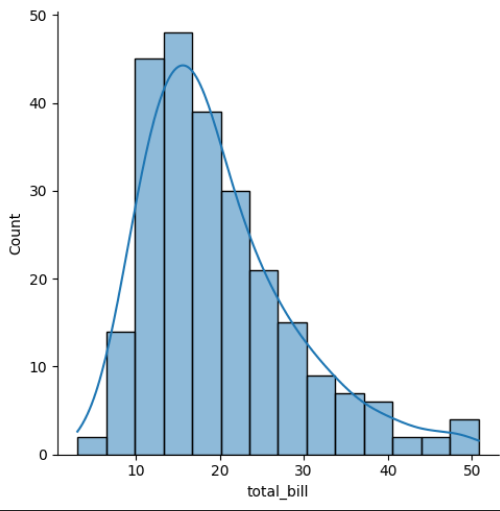
    Example

Total Bill Distribution with KDE (Displot)

This visualization uses Seaborn’s displot to show the distribution of total bill amounts along with a Kernel Density Estimate (KDE) curve.

sns.displot(x="total_bill",
           data=tips,
           kde=True)
Lesson image
  • Output Explanation

    • Bars → Frequency

    • Curve → Density

    • Helps understand:

      • Peaks

      • Skewness

      • Spread

    Density Instead of Count

sns.displot(x="total_bill",
           data=tips,
           stat="density",
           kde=True)
  • Y-axis → Density instead of frequency.


    Facet Grid (row, col)

    What is Facet Grid?

    Facet Grid splits data into multiple subplots based on categories.

    Very powerful for:

    ✔ Multi-category comparison
    ✔ Subgroup analysis
    ✔ Business reports

    Example — Row Facet

Total Bill Distribution by Gender (Facet Displot with KDE)

This visualization uses Seaborn’s displot with the row parameter to create separate distributions of total bill amounts for each gender.

sns.displot(x="total_bill",
           data=tips,
           row="sex",
           kde=True)
Lesson image
  • Creates separate plots for:

    • Male

    • Female

    Example — Column Facet

Total Bill Distribution by Day (Facet Displot with KDE)

This visualization uses Seaborn’s displot with the col parameter to create separate distributions of total bill amounts for each day of the week.

sns.displot(x="total_bill",
           data=tips,
           col="day",
           kde=True)
Lesson image
  • Separate distribution for each day.

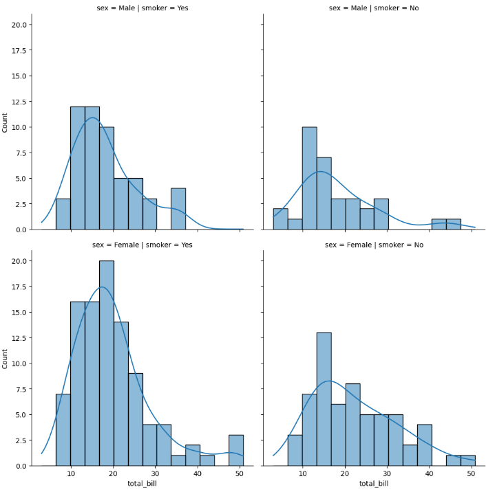
    Example — Row + Column

Total Bill Distribution by Gender and Smoking Status (Facet Displot with KDE)

This visualization uses Seaborn’s displot with both row and col parameters to create a grid of distributions for total bill amounts.

sns.displot(x="total_bill",
           data=tips,
           row="sex",
           col="smoker",
           kde=True)
Lesson image
  • Creates grid:

    • Male Smoker

    • Male Non-Smoker

    • Female Smoker

    • Female Non-Smoker

    Output Explanation

    Each subplot shows distribution for a specific category combination.

    This is called Multi-Dimensional Analysis.


    Multi-category Analysis

    Using Hue

Total Bill Distribution by Gender (Displot with Hue & KDE)

This visualization uses Seaborn’s displot to show the distribution of total bill amounts, separated by gender using the hue parameter.

sns.displot(x="total_bill",
           hue="sex",
           data=tips,
           kde=True)
Lesson image
  • Shows overlapping distributions in same plot.

    Using Multiple Option

Stacked Histogram of Total Bill by Gender

This visualization uses Seaborn’s displot to display a stacked histogram of total bill amounts, separated by gender.

sns.displot(x="total_bill",
           hue="sex",
           data=tips,
           multiple="stack")
Lesson image
  • Options:

    • layer (default)

    • stack

    • dodge

    • fill


    Types of Distribution in displot()

    We can change kind parameter:

    Histogram

sns.displot(x="total_bill", data=tips, kind="hist")
  •  KDE

sns.displot(x="total_bill", data=tips, kind="kde")
  • ECDF

sns.displot(x="total_bill", data=tips, kind="ecdf")